Cristina Nogueira Cobasa, Ana Extraviz Morenoa, Juana M.ª Ledesma Albarránb
aFEA-Pediatría y sus Áreas Específicas. Hospital Regional Universitario de Málaga. Málaga. España.
bFEA-Pediatría de Atención Primaria. CS Las Delicias. Málaga. España.
Correspondencia: C Nogueira . Correo electrónico: crisnogue14@hotmail.com
Cómo citar este artículo: Nogueira Cobas C, Extraviz Moreno A, Ledesma Albarrán JM. Influencia de los cuidadores y sus hábitos de exposición solar sobre la fotoprotección de los niños. Rev Pediatr Aten Primaria. 2022;24:e61-e72.
Publicado en Internet: 12-04-2022 - Número de visitas: 9006
Resumen
Introducción: la exposición solar durante la infancia es el factor etiológico más determinante para el desarrollo de neoplasias cutáneas en la edad adulta. La Organización Mundial de la Salud (OMS) propuso en 2002 seis medidas de fotoprotección básicas. El objetivo es analizar la relación e influencia de los cuidadores y sus hábitos de exposición solar sobre los aplicados en los niños.
Material y métodos: estudio transversal sobre hábitos fotoprotectores de 163 cuidadores y sus niños (1-14 años), obtenidos mediante dos encuestas validadas cumplimentadas por el cuidador.
Resultados: la media del grado de cumplimiento en los niños de las 6 medidas de fotoprotección de la OMS fue de 2,3/4. En los cuidadores, el grado de cumplimiento fue mayor en caso de ser varón, procedente de país europeo, con estudios superiores y con piel muy clara. El cumplimiento es significativamente menor conforme aumenta el número de horas al día que toma el sol en la playa y su número de quemaduras. En lo relativo al menor existe mayor cumplimiento si cursa Educación Infantil, tiene fototipo tipo I, acude a playa o piscina un mayor número de días al año y durante más horas al día y tiene menor número de quemaduras.
Conclusiones: el cumplimiento de las medidas básicas en nuestra población es relativamente bajo, quedando reflejada la relación proporcional existente con los hábitos de sus progenitores, por lo que es fundamental realizar estrategias de prevención dirigidas a los progenitores para favorecer hábitos de exposición solar saludables en las generaciones venideras.
Palabras clave
● Neoplasias cutáneas ● Protectores solares ● Quemadura solar ● Radiación ultravioletaLa radiación solar es la causante de múltiples efectos nocivos sobre la piel de los niños, siendo estos acumulativos e irreversibles. Algunos son inmediatos como la aparición de eritema o de quemaduras solares, mientras que otros suceden de manera tardía, siendo de especial relevancia el riesgo de neoplasias en el futuro, tema de especial actualidad y centro de numerosas investigaciones últimamente1.
La exposición solar intensa durante las dos primeras décadas de la vida está reconocida como el factor etiológico más determinante para el desarrollo de cáncer de piel en la edad adulta2, que en la actualidad es uno de los cánceres que más está aumentando.
La existencia de estos efectos adversos derivados de la exposición solar ha justificado el desarrollo y la evolución de una serie de medidas destinadas a minimizarlos, que conocemos como fotoprotección3. La Organización Mundial de la Salud (OMS) propuso en el año 2002 seis medidas de fotoprotección básica4:
Actualmente, los estudios que informan sobre la exposición solar en la infancia son limitados y provienen en su mayoría de entrevistas en grupos voluntarios y seleccionados3. Dadas las características geográficas de nuestro país (España), existen muchas zonas en las que la población pediátrica recibe muchas horas de sol al día y consideramos que es posible que por todo ello se encuentre infraestimado el riesgo que supone la exposición solar. La población pediátrica presenta la particularidad de que estos pacientes no son los responsables directos de aplicar medidas de fotoprotección a sí mismos, sino que son sus cuidadores principales los encargados de ello. Además, tomarán como ejemplo las prácticas realizadas por sus cuidadores por lo que resulta fundamental en este sentido obtener la información referente tanto al cuidador como al niño.
Las campañas de educación sanitaria que inciden en la edad escolar son las más costo-eficientes para prevenir las neoplasias cutáneas. Por ello, proponemos realizar un análisis de los conocimientos básicos y hábitos tanto en los cuidadores principales como en el niño, para así implementar acciones encaminadas a disminuir la exposición solar en la infancia, mejorar la protección contra ella y así, en consecuencia, prevenir la aparición de cáncer de piel en la edad adulta.
Se realizó un estudio descriptivo transversal sobre los hábitos de fotoprotección de un total de 163 cuidadores principales y sus hijos o hijas con edad comprendida entre 1 y 14 años, que acudieron a la consulta de Atención Primaria (AP) del Centro de Salud Delicias (Málaga) durante los meses de junio y julio de 2019, acompañados por uno de sus cuidadores principales (padre, madre, abuelos o familiares responsables del cuidado diario del niño). Se tomaron como criterios de exclusión: pacientes menores de 1 año, pacientes acompañados de cuidadores no habituales, desconocimiento del cuidador del lenguaje castellano o carencia de nivel suficiente para la comprensión del material.
Los datos se obtuvieron a través de dos encuestas validadas (ver anexo 1) que fueron entregadas y cumplimentadas en todos los casos por uno de los cuidadores principales del niño, que acudía a dicha consulta por cualquier otro motivo, y fueron analizados mediante el programa estadístico SPSS. Previamente, el estudio fue aprobado por el comité de ética de nuestro centro y se obtuvo el consentimiento informado de todos los cuidadores principales que participaron en el estudio (ver anexo 2).
Las encuestas empleadas fueron el Cuestionario a pie de playa5 y la encuesta CHRESI6, que consisten en dos cuestionarios creados por expertos en Dermatología y Epidemiología y validados en el hospital Costa del Sol (Málaga, España)2,3 para el estudio de hábitos relacionados con la exposición solar en adultos y niños. El primero está diseñado para su aplicación en población adulta y analiza 37 ítems (datos demográficos, tono de piel, fototipo de piel, hábitos de exposición solar en playas, quemaduras, prácticas de fotoprotección, actitudes relacionadas con el sol y conocimientos relacionados con el sol) y el segundo se corresponde con la adaptación a la edad pediátrica del primero y analiza 19 ítems (datos demográficos, tono de piel, fototipo, hábitos de exposición solar al aire libre, en playas y piscinas, quemaduras y prácticas de fotoprotección). En este segundo cuestionario el cumplimiento de las medidas fotoprotectoras se gradúa del 0 al 4 puntuando de la siguiente manera: 0: nunca; 1: casi nunca; 2: a veces; 3: casi siempre, y 4: siempre.
Se establecieron los siguientes objetivos en nuestro estudio:
El análisis estadístico de los datos obtenidos fue realizado mediante el programa SPSS (versión 23).
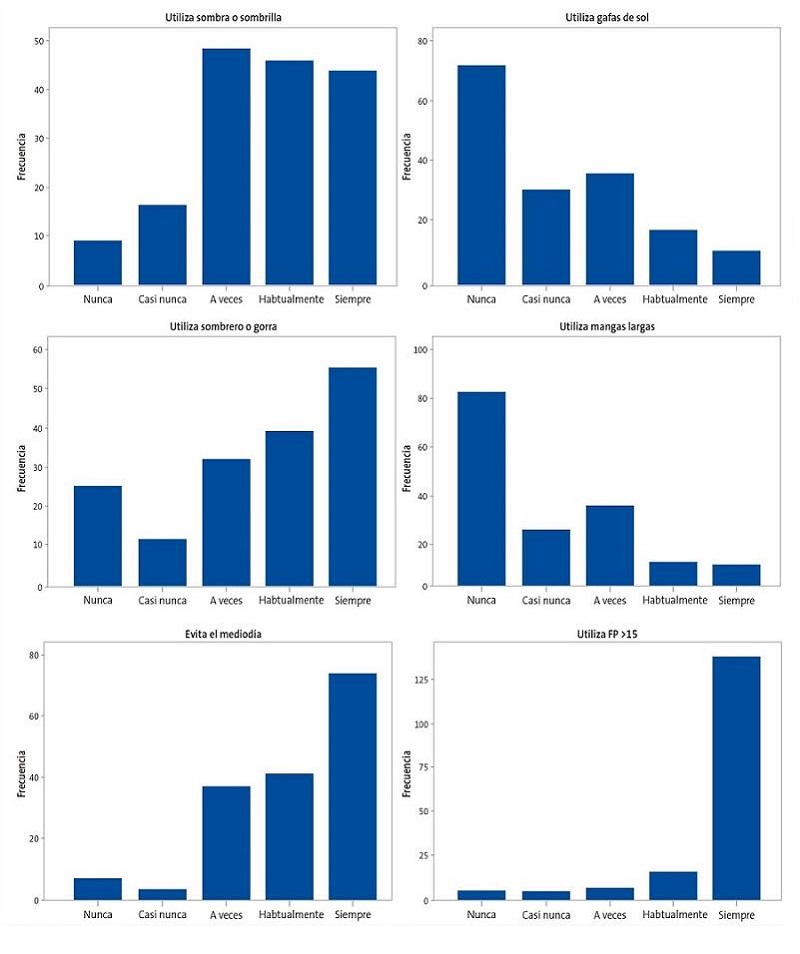
Se recogieron un total de 163 pacientes pediátricos que cumplían nuestros criterios de inclusión. Inicialmente se analizó el grado de cumplimiento de cada una de las medidas de fotoprotección por separado (Fig. 1), que recordamos que son las siguientes:
| Figura 1. Gráficos que representan el grado de cumplimiento de cada una de las seis medidas de fotoprotección. En el eje de abscisas se reflejan los diferentes grados de cumplimiento de menor a mayor: nunca, casi nunca, a veces, habitualmente y siempre. En el eje de ordenadas se refleja el n.º de niños que cumplen dicha medida en concreto sobre el total de 163 (frecuencia) |
|---|
![]() |

Se objetiva en este primer análisis un mayor cumplimiento de cuatro de las medidas (resguardo en la sombra, uso de sombrero/gorra, evitar horas centrales, uso de cremas con FPS) mientras que destaca un muy bajo grado de cumplimiento de las otras dos medidas: empleo de gafas de sol y de prendas de manga larga.
Posteriormente se analizó el grado medio de cumplimiento global de las seis medidas fotoprotectoras de la OMS en nuestra muestra de niños, siendo este de 2,3 (+/- 0,69 DE) sobre un total de 4, con el siguiente sistema de puntuación: 0 puntos: nunca; 1 punto: casi nunca; 2 puntos: a veces; 3 puntos: casi siempre, y 4 puntos: siempre. Este resultado sería equivalente a un cumplimiento del 57,5% de todas las medidas.
Seguidamente, se analizaron distintos factores que podrían influir en el cumplimiento de las medidas fotoprotectoras en los niños. A continuación, describimos aquellos factores que se relacionaron de manera estadísticamente significativa con el grado de cumplimiento de las medidas fotoprotectoras propuestas por la OMS, dividiéndolos en tres grupos diferenciados: características del cuidador, hábitos del cuidador y características del niño.
En relación con las características del cuidador (Fig. 2), el grado de cumplimiento para con sus hijos fue mayor en caso de ser varón (2,64 puntos; p = 0,03), procedente de país europeo (3,05 puntos; p = 0,01), con estudios superiores (2,53 puntos; p = 0,45) y con piel muy clara (2,66 puntos; p = 0,26). No se encontraron diferencias significativas en relación con la edad ni con el estado civil del cuidador.
| Figura 2. Gráficos que correlacionan el grado de cumplimiento de las medidas aplicadas en los niños con las diferentes características de su cuidador: país de nacimiento, nivel de estudios y color de piel. En el eje de abscisas se representan las características del cuidador, y en el eje de ordenadas la media del grado de cumplimiento de las medidas (sobre un total de 4 puntos) |
|---|
![]() |

En lo relativo a los hábitos de fotoprotección del cuidador (Fig. 3), el cumplimiento es significativamente menor conforme aumenta el número de horas al día que el cuidador toma el sol en la playa (p = 0,002) y su número de quemaduras (p = 0,07).
| Figura 3. Gráficos que correlacionan el grado de cumplimiento de las medidas aplicadas en los niños con aspectos de los hábitos de fotoprotección del cuidador: número de horas al día de exposición solar y número de quemaduras totales el verano anterior. En el eje de abscisas se representan los hábitos del cuidador, y en el eje de ordenadas la media del grado de cumplimiento de las medidas (sobre un total de 4 puntos) |
|---|
![]() |

Por último, en cuanto a las características del menor (Fig. 4), existió mayor cumplimiento si el niño/a cursaba Educación Infantil (p <0,05), tenía fototipo tipo I (p = 0,01), acudía a la playa o a la piscina durante un mayor número de días al año (p = 0,04) y durante más horas al día (p = 0,01) y tenía menor número de quemaduras (p <0,05). No se encontraron diferencias estadísticamente significativas en cuanto al sexo o edad del niño/a.
| Figura 4. Gráficos que correlacionan el grado de cumplimiento de las medidas aplicadas en los niños con características de estos: nivel de estudios, fototipo, días que pasa al año en playa o piscina, número de horas que pasa al día en playa o piscina y número de quemaduras el verano anterior. En el eje de abscisas se representan las características del menor, y en el eje de ordenadas la media del grado de cumplimiento de las medidas (sobre un total de 4 puntos) |
|---|
![]() |

Según la evidencia que aporta nuestro estudio podemos afirmar que las estrategias de fotoprotección aplicadas sobre una muestra representativa de nuestra población están lejos de ser óptimas en la actualidad, dado que el cumplimiento (en porcentaje) de las medidas fotoprotectoras que se consideran básicas se encuentra en nuestra muestra en un 57,5%. También ha podido quedar reflejada la importancia y la influencia que los hábitos y características de los cuidadores tienen sobre las medias aplicadas en sus hijos/as, convirtiéndose estos en un punto clave a la hora de querer optimizar esta situación.
Todo esto resulta realmente preocupante cuando, por otro lado, en la bibliografía actual, se ha sugerido que la población infantil puede suponer un grupo particular de riesgo, diferenciado incluso de los adultos, al existir cierta evidencia de que la población infantil puede ser especialmente susceptible a los efectos dañinos de la radiación solar.
Esta particular susceptibilidad en la edad pediátrica se puede explicar por ciertas razones:
Por todo ello, entre un 50 y un 80% del daño inducido por la exposición solar que un individuo recibe durante toda la vida se realiza durante la infancia y la adolescencia1.
Resulta alarmante que, en las últimas dos décadas, pese a los intentos de una mayor concienciación de los riesgos que supone la radiación solar, la mayoría de la población sigue sin aplicar de manera constante medidas fotoprotectoras más allá del uso de cremas con FPS. En un estudio llevado a cabo en EE. UU. durante el verano de 19978, los autores reflejaron que el principal método fotoprotector usado por las familias era el uso de los fotoprotectores, y que el uso de otros métodos complementarios de fotoprotección iba disminuyendo con la edad del niño. Estos son dos hechos que nosotros, con nuestro estudio realizado más de dos décadas más tarde, seguimos constatando: el empleo de cremas de protección solar fue el método de mayor cumplimiento, en detrimento de otros que también resultan básicos y necesarios, así como el mayor cumplimiento de las medidas fotoprotectoras cuando el niño cursaba Educación Infantil, y disminuyendo progresivamente según el niño iba alcanzando más edad.
En este sentido urge iniciar una labor educacional desde las consultas de AP, especialmente en países de alta exposición como el nuestro, para mejorar la aplicación de las medidas fotoprotectoras y evitar el riesgo de cáncer en la edad adulta. Este tipo de educación deben comenzarse lo antes posible en los niños para que se convierta en algo habitual, ya que los comportamientos que se adquieren de forma temprana tienden a perdurar durante la vida con mayor intensidad que aquellos adquiridos tardíamente3.
Este trabajo no ha recibido financiación de ningún tipo para su realización. Los autores declaran no tener ningún conflicto de intereses.
AP: Atención Primaria ·FDA: Food and Drug Administration · FPS: factor de protección solar · OMS: Organización Mundial de la Salud.
Solicitamos su participación en un estudio acerca de la fotoprotección en la infancia y la influencia que tienen los padres en prevenir las complicaciones que tiene el sol en sus hijos. Para ello, nos gustaría que rellenase estos dos cuestionarios, totalmente ANÓNIMOS, acerca de sus hábitos, actitudes y conocimientos relacionados con la exposición solar, así como los de su hijo/a.
Gracias por su participación.
Cuestionario n.º 1: comportamientos, actitudes y conocimientos relacionados con la exposición solar de los CUIDADORES.
Responda las siguientes preguntas en relación con USTED MISMO.
![]() |
Cuestionario n.º 2: cuestionario acerca de los hábitos relacionados con la exposición solar durante la infancia.
Responda las siguientes preguntas en relación con SU HIJO/A.
![]() |
DOCUMENTO PARA CONSENTIMIENTO INFORMADO DE PARTICIPACIÓN EN UN ESTUDIO SOBRE HÁBITOS DE FOTOPROTECCIÓN EN LA INFANCIA
INFORMACIÓN PARA EL PACIENTE
Antes de firmar este consentimiento informado le rogamos que lea atentamente la información que sigue a continuación y realice tras ello las preguntas que necesite o crea oportunas.
Justificación de nuestro estudio:
Solicitamos su participación en un estudio acerca de la fotoprotección en la infancia. La exposición solar durante la infancia está reconocida como el factor etiológico más determinante para el desarrollo de cáncer de piel en la edad adulta. Dadas las características climáticas de nuestra región, nuestra población presenta una alta tasa de exposición solar. Es por ello por lo que consideramos importante conocer el grado de exposición de nuestra población infantil, así como la influencia que tienen las medidas empleadas por los padres o cuidadores principales para prevenir las complicaciones a corto y largo plazo que tiene el sol en sus hijos.
Implicaciones para los participantes:
La participación en el estudio con la consiguiente cumplimentación de esta encuesta es totalmente voluntaria. El estudio para realizar es observacional y se limitará a la recogida de datos acerca de los hábitos de exposición solar de cuidadores y pacientes. Debe saber que toda la información obtenida se tratará de manera anónima puesto que no constará ningún dato identificativo del paciente en el documento para cumplimentar.
Para ello, nos gustaría que rellenase los dos cuestionarios que le entregamos junto con este documento, relativos a sus hábitos, actitudes y conocimientos relacionados con la exposición solar, así como la de su hijo/a.
Además, tras la cumplimentación de la encuesta, le entregaremos una serie de recomendaciones que la Asociación Española de Pediatría ofrece sobre este tema.
Gracias por su participación.
![]() |