Vol. 25 - Num. 99
Originales
Gaizka Legarra Gorgoñona, Yesenia García Alonsoa, Robinson Ramírez Véleza, Blanca Erice Echegarayb, Paula Moreno Gonzálezb, Mikel Izquierdoa, Alicia M.ª Alonso Martíneza
aGrupo de Investigacion E-FIT. Navarrabiomed. Hospital Universitario de Navarra. Universidad Pública de Navarra. Instituto de Investigación Sanitaria de Navarra (IdiSNA). Pamplona. Navarra. España.
bServicio de Pediatría. Hospital Universitario de Navarra. Navarrabiomed. Instituto de Investigación Sanitaria de Navarra (IdiSNA). Pamplona. Navarra. España.
Correspondencia: AM Alonso. Correo electrónico: aliciamaria.alonso@unavarra.es
Cómo citar este artículo: Legarra Gorgoñon G, García Alonso Y, Ramírez Vélez R, Erice Echegaray B, Moreno González P, Izquierdo M, et al. Evaluación de los dominios de la actividad física y los componentes de la condición física en niños de 4-5 años en un centro de salud . Rev Pediatr Aten Primaria. 2023;25:261-8. https://doi.org/10.60147/3c63021d
Publicado en Internet: 05-07-2023 - Número de visitas: 10796
Resumen
Introducción: la falta de actividad física y el sedentarismo en niños se asocia con una mayor adiposidad, bajo nivel de aptitud cardiovascular y riesgo de enfermedades cardiovasculares. Sin embargo, cumplir con las recomendaciones de actividad física se relaciona con mejoras en la salud mental, disminución de la ansiedad y depresión, así como adopción de hábitos saludables.
Objetivos: evaluar la relación entre los diferentes dominios de la actividad física y del sedentarismo, medidos de forma objetiva, y los componentes de la condición física en niños españoles de 4 y 5 años.
Población y métodos: estudio transversal dentro del proyecto “Observatorio y programa de intervención de ejercicio físico y estilos de vida en familia para niños y niñas de 4 a 5 años en Atención Primaria” (https://observatorioactividadfisica.es). La condición física se evaluó con la batería PREFIT y la cantidad e intensidad de actividad física mediante un acelerómetro tri-axial GENEActiv durante 7 días consecutivos las 24 horas del día.
Resultados: la muestra evaluada fue de 70 niños (38 niños y 32 niñas) con una media (intervalo de confianza [IC] del 95%) de 4,83 años. No se observaron diferencias significativas en la condición física entre niños y niñas. Los niños realizaron una actividad física de mayor intensidad y tiempo que las niñas. Además, se encontró una fuerte relación significativa entre los componentes de la condición física y los dominios de la actividad física.
Conclusiones: estos hallazgos resaltan la importancia de promover estilos de vida activos desde temprana edad y la necesidad de programas de entrenamiento estructurado para reducir el sedentarismo y mejorar la condición física en esta población.
Palabras clave
● Actividad física ● Condición física ● Preescolares ● SedentarismoLa inactividad física y el sedentarismo (SED) son un problema de salud global y el cuarto factor de riesgo más importante de mortalidad en todo el mundo. La OMS recomienda para niños de 3 y 4 años un mínimo de 180 minutos de actividad física moderada o vigorosa (AFMV) al día y evitar estar sentados durante largos periodos de tiempo1-3. El sueño también es un aspecto importante de la salud infantil y se recomienda que los niños de esta edad tengan entre 10 y 13 horas de sueño de calidad4. La falta de actividad física (AF) y el SED en niños se asocian con una mayor adiposidad, bajo nivel de aptitud cardiovascular y riesgo de enfermedades cardiovasculares5. Por otro lado, cumplir con las recomendaciones de AF se asocia con mejoras en la salud mental, disminución de la ansiedad y depresión, y hábitos más saludables.
En cuanto a la condición física (CF), se ha demostrado que tener una baja masa y fuerza muscular está asociado con resultados negativos para la salud6 y con una mortalidad prematura7. Además, estudios metaanalíticos recientes han demostrado que tener bajos niveles de CF está asociado con un mayor riesgo de desarrollar obesidad y enfermedades cardiometabólicas en la edad adulta8. De igual manera, se ha demostrado que cantidades moderadas de AF pueden tener beneficios para la salud en jóvenes con alto riesgo9.
A medida que los niños crecen, su nivel de AF disminuye y su SED aumenta (Ortiz-Sánchez et al.10). La falta de AF y el SED en los escolares están asociados con una mayor cantidad de grasa corporal, lo que significa que al menos uno de cada tres niños en España tiene sobrepeso11, así como con un bajo nivel de aptitud cardiovascular, riesgo de hipertensión y colesterol elevado12. Por otro lado, seguir las recomendaciones de AF está asociado con una mejora en la salud mental13, un menor nivel de ansiedad y depresión14 y un estilo de vida más saludable15.
Por lo tanto, es importante registrar y evaluar objetivamente la AF, su intensidad, el sedentarismo y el sueño en los niños. Recientes estudios han demostrado que cuanta más AF se realice, mejores serán sus efectos sobre la salud. Por ejemplo, Chunyi Fang et al. muestran una relación entre el número de pasos y la CF en edad preescolar16. Asimismo, Migueles et al. afirman que, en niños de 4 años, la actividad física vigorosa (AFV) está positivamente relacionada con cambios en la composición corporal y en la CF17. Con este fin, se realizó un estudio para evaluar la relación entre los dominios de AF y SED, medidos de forma objetiva, y los componentes de AF en niños españoles de 4 y 5 años.
Se llevó a cabo un estudio transversal dentro del proyecto “Observatorio y programa de intervención de ejercicio físico y estilos de vida en familia para niños y niñas de 4 a 5 años en Atención Primaria” (https://observatorioactividadfisica.es). La muestra fue de 70 niños (38 niños y 32 niñas) con una media de 4,83 años. Se informó a las familias sobre el objetivo del estudio y se obtuvo el consentimiento informado de padres/madres/tutores/responsables legales y el asentimiento de los menores. Los participantes fueron reclutados entre los niños de 4 y 5 años del centro de salud Iturrama. Se excluyeron aquellos con lesiones o cirugías recientes o restricciones médicas para realizar las pruebas de CF. El protocolo de estudio cumple con los principios de la Declaración de Helsinki y fue aprobado por el Comité de Ética del Departamento de Salud de Navarra (PI_2021/111).
Las medidas antropométricas como la altura (cm), peso (kg) e IMC se evaluaron siguiendo el protocolo de CDC-NHANES con evaluadores previamente capacitados para las mediciones18. La altura se midió utilizando un tallímetro SECA 213 con 1 mm de precisión en la posición Frankfurt y el peso se midió con un analizador de composición corporal Tanita DC-430MAS con 100 g de precisión, con el participante en ropa ligera y pies descalzos. El IMC se calculó en kg/m2 utilizando el peso y la altura medidos, siguiendo las directrices de la Sociedad Española para el estudio de la Obesidad (SEEDO). La circunferencia de la cintura (cm) se midió con una cinta métrica flexible, inextensible y milimetrada SECA 20119.
Para medir la cantidad e intensidad de AF se utilizó un acelerómetro tri-axial GENEActiv que se colocó en la mano no dominante por 7 días consecutivos durante las 24 horas del día (5 días entre semana y 2 días en fin de semana), a una frecuencia de 87,5 Hz. Para determinar el SED, los niveles de actividad física ligera (AFL), actividad física moderada (AFM), AFV y actividad física total (AFT), los niños debieron usar el acelerómetro durante un tiempo promedio de 600 minutos durante el tiempo despiertos y 200 minutos de sueño, cada uno de los 7 días registrados. Se aplicaron puntos de corte específicos para niños de la franja de edad 4-6 años: 56,3 miliunidades gravitatorias (mg) tiempo SED; 1856,3 mg AFL; 191,6 mg AFM; y 695,8 mg AFV. Para la extracción de los datos, se utilizó el software GENEActivPC (versión 3.3). Para el procesamiento y análisis, se utilizó el paquete R GGIR. El sueño fue detectado a través del algoritmo de Hees et al.20.
Para determinar los niveles de CF, se usó con la batería PREFIT. Esta batería consiste en cuatro test: fuerza de prensión manual (FPM), salto de longitud a pies juntos (SL), velocidad agilidad 4 x 10 m (4 x 10 m) y test de 20 m de ida y vuelta PREFIT (test de 20 m). Las mediciones se organizaron a modo de circuito, donde los mismos investigadores evaluaron los mismos test. Los niños realizaron las pruebas de forma individual, a excepción del test 20 m, donde se organizaron en grupos pequeños de seis participantes para su ejecución. Para medir la fuerza muscular del tren superior (test FPM), se utilizó un dinamómetro analógico con agarre ajustable, Takei 5001®. Este test se midió dos veces por mano, de forma alternativa, y la medida se registró en kilogramos de fuerza (kgf) con una precisión de 100 g. Para medir la fuerza muscular del tren inferior se utilizó el SL. Los niños realizaron el test tres veces y se registró el mejor resultado (cm). Para la capacidad motora, se utilizó el test 4 x 10 m, realizándose dos veces, respetando la recuperación completa y registrando el mejor resultado (menor tiempo, registrado en segundos). Para medir la capacidad cardiorrespiratoria, se realizó el test de 20 m adaptado. Se ejecutó una vez y se registró el número de vueltas completadas. Para calcular la puntuación de la CF general (puntuación-z), se utilizó la FPM, SL, 4 x 10 m (multiplicando por -1 la variable expresada en segundos) y el test de 20 m adaptado.
Las variables continuas se expresaron en términos de media ± desviación estándar. Se determinó la normalidad estadística utilizando la prueba de Kolmogorov-Smirnov y se encontraron diferencias significativas entre los sexos en la AF medida objetivamente. Se llevó a cabo un análisis de regresión lineal para evaluar las asociaciones entre la CF (variables independientes: FPM, SL, 4 x 10 m, test de 20 m y puntuación-z) y los dominios de la AF (variables dependientes: AFL, AFM, AFV, AFMV, AFT y SED). Se realizó un análisis de covarianza ajustado por género, edad e IMC para demostrar esta asociación. Todos los análisis se realizaron usando el paquete estadístico para ciencias sociales (IBM SPSS Statistics 26 para Windows; SPSS Inc., Chicago) y el nivel de significancia se estableció en α = 0,05.
La Tabla 1 presenta las características de los participantes (medidas antropométricas, componentes de la CF y dominios de la AF) por género. La muestra final incluyó a 70 niños y niñas con una edad promedio de 4,83 ± 0,49. No se observaron diferencias significativas en las medidas antropométricas ni en los componentes de la CF. Sin embargo, se encontraron diferencias significativas en la AFM, AFV y AFMV entre los géneros (AFM p = 0,002; AFV p = 0,001; AFMV p = 0,001).
| Tabla 1. Características de la muestra | ||||
|---|---|---|---|---|
| Niñas (n = 32) | Niños (n = 38) | Total (n = 70) | Valor p | |
| Parámetros antropométricos | ||||
| Edad | 4,77 (±0,49) | 4,87 (±0,49) | 4,83 (±0,49) | 0,407 |
| Altura (cm) | 106,7 (±4,95) | 108,9 (±4,92) | 107,9 (±5,02) | 0,070 |
| Peso (kg) | 18,59 (±2,97) | 19,80 (±3,83) | 19,25 (±3,49) | 0,150 |
| Índice de masa corporal (kg/m2) | 16,25 (±1,53) | 16,62 (±2,36) | 16,45 (±2,02) | 0,448 |
| Circunferencia de cintura (cm) | 53,5 (±3,16) | 54,9 (±6,18) | 54,3 (±5,04) | 0,240 |
| Componentes de la condición física | ||||
| Fuerza de prensión manual (kg) | 7,92 (±1,82) | 8,48 (±2,05) | 8,22 (±1,96) | 0,240 |
| Salto de longitud a pies juntos (cm) | 87,81 (±17,23) | 86,46 (±26,20) | 87,01 (±22,28) | 0,808 |
| Velocidad agilidad 4 x 10 m (seg) | 15,18 (±1,20) | 15,35 (±1,79) | 15,27 (±1,54) | 0,677 |
| Test de 20 m de ida y vuelta PREFIT (vueltas) | 28,79 (±10,67) | 30,53 (±11,92) | 29,73 (±11,31) | 0,548 |
| Condición física general (puntuación-z) | 0,09 (±2,67) | 0,13 (±2,75) | 0,11 (±2,69) | 0,959 |
| Acelerometría | ||||
| AFL (min/día) | 295,64 (±38,31) | 289,64 (±26,32) | 292,35 (±31,92) | 0,465 |
| AFM (min/día) | 79,97 (±19,27) | 99,06 (±26,91) | 90,80 (±25,58) | 0,002 |
| AFV (min/día) | 12,40 (±4,79) | 18,82 (±8,87) | 16,04 (±8,01) | 0,001 |
| AFMV (min/día) | 92,37 (±22,56) | 117,89 (±35,05) | 106,84 (±32,66) | 0,001 |
| AFT (min/día) | 388,01 (±53,15) | 407,72 (±44,60) | 399,19 (±49,10) | 0,104 |
| Sedentarismo (min/día) | 515,94 (±61,60) | 522,49 (±142,70) | 519,66 (±114,17) | 0,818 |
| Cumplimiento recomendaciones AF (%) | 26 (86,67%) | 38 (100%) | 64 (94,1%) | 0,020 |
| Sueño (horas/día) | 8,93 (±0,75) | 8,97 (±0,70) | 8,95 (±0,72) | 0,850 |
| Descanso | 0,81 (±0,05) | 0,82 (±0,05) | 0,81 (±0,05) | 0,486 |
| Cumplimiento recomendaciones sueño (%) | 29 (96,67%) | 36 (94,74%) | 65 (95,59%) | 0,700 |
| Tiempo total de medición (días) | 6,76 (±0,68) | 6,99 (±0,0) | 6,89 (±0,46) | 0,044 |

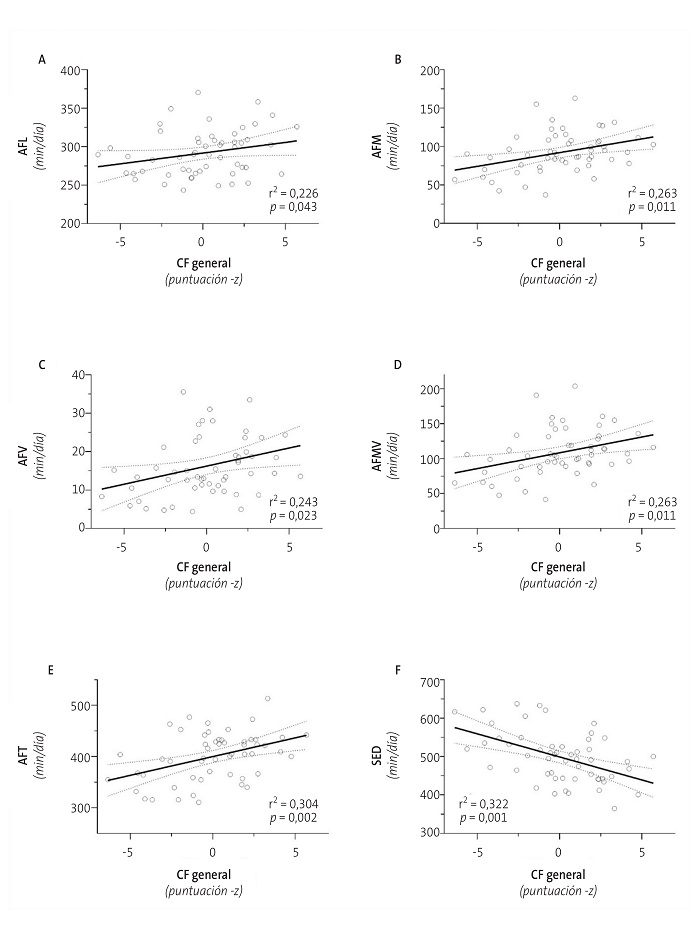
La asociación entre los componentes de la CF y los dominios de la AF se muestran en la Tabla 2. La AFM, AFV y AFMV se relacionan significativamente con la FPM (0,025; 0,010; 0,017 respectivamente), SL (0,008; 0,021; 0,008 respectivamente) y con 4 x 10 m (0,018; 0,05; 0,019 respectivamente). Por su parte, la AFT se relaciona con el SL (0,007) y con el 4 x 10 m (0,012). No se encontraron diferencias significativas entre la AF medida con el acelerómetro y el test de 20 m. Por su parte, la puntuación-z se asocia significativamente con todos los dominios de la AF y sedentarismo: AFL (0,043), AFM (0,011), AFV (0,023), AFMV (0,011), AFT (0,002) y SED (0,001), como se puede observar en la Figura 1.
| Tabla 2. Asociación entre la condición física y los dominios de la actividad física en valores de puntuación z | ||||||||||||||||||||
|---|---|---|---|---|---|---|---|---|---|---|---|---|---|---|---|---|---|---|---|---|
| Fuerza de prensión manual | Salto de longitud a pies juntos | Velocidad agilidad 4 x 10 m | Test de 20 m de ida y vuelta PREFIT | Puntuación-z | ||||||||||||||||
| Coeficientes no estandarizados | Coeficientes no estandarizados | Coeficientes no estandarizados | Coeficientes no estandarizados | Coeficientes no estandarizados | ||||||||||||||||
| B | 95% IC | r2 | p | B | 95% IC | r2 | p | B | 95% IC | r2 | p | B | 95% IC | r2 | p | B | 95% IC | r2 | p | |
| AFL | 0,002 | 0,006 | 0,401 | 0,784 | 0,148 | 0,100 | 0,277 | 0,145 | -0,011 | 0,007 | 0,092 | 0,127 | 0,054 | 0,050 | 0,092 | 0,282 | 0,024 | 0,011 | 0,226 | 0,043 |
| AFM | 0,018 | 0,008 | 0,448 | 0,025 | 0,322 | 0,117 | 0,154 | 0,008 | -0,20 | 0,008 | 0,147 | 0,018 | 0,031 | 0,061 | 0,075 | 0,619 | 0,037 | 0,014 | 0,263 | 0,011 |
| AFV | 0,065 | 0,024 | 0,463 | 0,010 | 0,885 | 0,375 | 0,127 | 0,021 | -0,053 | 0,027 | 0,118 | 0,050 | 0,142 | 0,196 | 0,079 | 0,474 | 0,108 | 0,046 | 0,243 | 0,023 |
| AFMV | 0,015 | 0,006 | 0,455 | 0,017 | 0,250 | 0,091 | 0,153 | 0,008 | -0,015 | 0,006 | 0,144 | 0,019 | 0,027 | 0,048 | 0,076 | 0,574 | 0,029 | 0,011 | 0,263 | 0,011 |
| AFT | 0,007 | 0,004 | 0,429 | 0,086 | 0,170 | 0,061 | 0,158 | 0,007 | -0,011 | 0,004 | 0,159 | 0,012 | 0,034 | 0,032 | 0,090 | 0,289 | 0,022 | 0,007 | 0,304 | 0,002 |
| SED | -0,003 | 0,002 | 0,422 | 0,132 | -0,045 | 0,025 | 0,092 | 0,081 | 0,003 | 0,002 | 0,091 | 0,130 | 0,001 | 0,016 | 0,071 | 0,960 | -0,17 | 0,005 | 0,322 | 0,001 |

| Figura 1. Relación entre los diferentes dominios de la actividad física (AF) y la condición física (CF) general |
|---|
![]() |

El objetivo de este estudio fue examinar la relación entre los dominios de la AF medidos con acelerometría (AFL, AFM, AFV, AFMV, AFT y SED) y los componentes de la CF (FPM, SL, 4 x 10 m y test de 20 m) en niños preescolares de 4 y 5 años. Los resultados indican que no hubo diferencias significativas en la CF entre niños y niñas, pero sí se encontraron diferencias en la AF. Los niños realizaron más AF y de mayor intensidad que las niñas, resultado que se apoya en los hallazgos de la literatura18. Esto se puede ver reflejado en el alto cumplimiento de las recomendaciones de AF, siendo únicamente 4 de un total de 32 las niñas que no cumplieron dichas recomendaciones (≥180 minutos de AFT y ≥60 min de AFMV)7. Estos resultados se asemejan a los publicados por Quan et al., quienes afirman en su estudio (al igual que el nuestro) que los niños realizaron más AFMV y AFT que las niñas (117,89 min/día frente a 92,37 min/día y 407,72 min/día frente a 388,01 min/día, respectivamente)21.
Se encontró una fuerte relación significativa entre los componentes de la CF y los dominios de la AF de los niños. Esto se asemeja a los resultados de otros estudios que vinculan la AFV con la composición corporal y la aptitud física. Por ejemplo, Jairo H. Migueles et al. señalaron que el aumento de la AFV a expensas de comportamientos de menor intensidad para niños de 4 años se asoció con la composición corporal y la aptitud física a niveles transversales y longitudinales17. Además, Leppänen et al., en un seguimiento de 12 meses en niños sanos suecos de 4 años, concluyeron que mayores niveles de AFV y AFMV se asocian con mejores resultados de condición cardiorrespiratoria, fuerza muscular de tren inferior y aptitud motora22. Este hallazgo es similar al de Fang et al.23, quienes demostraron asociaciones positivas entre el SL y la AFMV, y negativas entre el test 4 x 10 m y la AFMV23. Sin embargo, en este estudio no se encontraron asociaciones positivas entre el test de 20 m y la AFMV, lo que puede deberse al tamaño de muestra.
Las fortalezas principales de nuestro estudio son la edad joven de los participantes (con una edad promedio de 4,83 años) y el uso de acelerómetros en la muñeca. Estos dispositivos permitieron la recolección de medidas objetivas de la AF que no sería posible registrar a través de cuestionarios. Sin embargo, hay que mencionar que una de las limitaciones es el tamaño pequeño de la muestra y el hecho de que los participantes provinieron del mismo centro de salud, lo cual requiere interpretar los resultados con precaución.
Estos hallazgos resaltan la importancia de promover estilos de vida activos desde temprana edad y la necesidad de programas de entrenamiento estructurado para reducir el sedentarismo y mejorar la condición física en esta población. En el futuro, se buscará ampliar el tamaño de la muestra y desarrollar programas de entrenamiento estructurado para reducir el tiempo sedentario y aumentar la AF en todos sus dominios. De esta manera, se podrá evaluar si el aumento de la AF podría tener un impacto en cada uno de los componentes de la CF.
Los autores declaran no presentar conflictos de intereses en relación con la preparación y publicación de este artículo. Este estudio estuvo cofinanciado al 50% por el Gobierno de Navarra-Departamento de Salud y al 50% por los Fondos Europeos de Desarrollo Regional (FEDER), Programa 2014-2020 (Navarra).
Contribución de los autores: concepción del estudio, investigación, protocolo, redacción (GLG, YGA, RRV, BEE, MI, AMAM), medición y reclutamiento de participantes, revisión (GLG, YGA, BEE, PMG, AMAM).
AF: actividad física · AFL: actividad física ligera · AFM: actividad física moderada · AFMV: actividad física moderada o vigorosa · AFT: actividad física total · AFV: actividad física vigorosa · CF: condición física · FPM: fuerza de prensión manual · IMC: índice de masa corporal · OMS: Organización Mundial de la Salud · SED: sedentarismo · SL: salto de longitud a pies juntos · Test de 20 m: test de 20 metros de ida y vuelta PREFIT · 4 x 10 m: test de velocidad-agilidad 4 x 10 m.